在DFMEA開發中,一般使用方框圖/邊界圖確定分析的范圍,包括分析范圍內的組件和零件及其接口,以及與客戶,制造商,服務商等外部接口,并通過邊界圖展示產品各系統元素之間的物理和邏輯關系。
另外,邊界圖的輸出是作為P圖的輸入,虛線框外部的接口為P圖的干擾因素;由此可見,邊界圖對我們的FMEA意義重大。
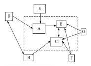
簡單的方框圖/邊界圖,可用箭頭表明相互作用,方框是實際功能,虛線框表明FMEA的邊界(范圍)。
如圖所示:

如何畫出一個完整的邊界圖呢?
1. 首先用邊界圖定義分析項目的范圍。
對于我們的研究對象,我們可以用虛線或粗的實線給它圈起來。
比如對于發動機上的交流啟動機:

2. 然后識別出外部接口,外部接口包括以下幾種:
- 物理接觸(例如,支架、螺栓、夾子和各種類型的連接器)
- 物質交接(例如,氣動流體、液壓流體或任何其他流體或材料交換)
- 能量傳遞(例如,傳熱、摩擦或運動傳遞、例如鏈節或齒輪)
- 信息交換(例如,計算機輸入或輸出、線束、電信號或任何其他類型的信息交換安全項目)
- 人-機(例如,控制、開關、反應,顯示,警告,設置,進入/退出)
可以用不同的顏色或者線條來代表不同的接口,示例:

3. 最后再確定內部元素的物理及邏輯關系。
內部實線框按結構層次展開,如系統、組件及零件。
第一層系統,第二層組件,第三層零件,零件層通常是最底層次。是否需要展開到零件層次,是由設計責任所決定的。也就是說展開至有設計責任的層次就行了,你沒有設計責任,就不用再往下展開了。


總結:
使用邊界圖確定分析的范圍, 并確定分析范圍內的組件和零件及其接口,以及與客戶、制造商、服務商等外部接口,并通過邊界圖展示產品各系統元素之間的物理和邏輯關系,為P參數圖和功能分析做好準備。
中企檢測認證網提供iso體系認證機構查詢,檢驗檢測、認證認可、資質資格、計量校準、知識產權貫標一站式行業企業服務平臺。中企檢測認證網為檢測行業相關檢驗、檢測、認證、計量、校準機構,儀器設備、耗材、配件、試劑、標準品供應商,法規咨詢、標準服務、實驗室軟件提供商提供包括品牌宣傳、產品展示、技術交流、新品推薦等全方位推廣服務。這個問題就給大家解答到這里了,如還需要了解更多專業性問題可以撥打中企檢測認證網在線客服13550333441。為您提供全面檢測、認證、商標、專利、知識產權、版權法律法規知識資訊,包括商標注冊、食品檢測、第三方檢測機構、網絡信息技術檢測、環境檢測、管理體系認證、服務體系認證、產品認證、版權登記、專利申請、知識產權、檢測法、認證標準等信息,中企檢測認證網為檢測認證商標專利從業者提供多種檢測、認證、知識產權、版權、商標、專利的轉讓代理查詢法律法規,咨詢輔導等知識。
本文內容整合網站:百度百科、搜狗百科、360百科、知乎、市場監督總局
免責聲明:本文部分內容根據網絡信息整理,文章版權歸原作者所有。向原作者致敬!發布旨在積善利他,如涉及作品內容、版權和其它問題,請跟我們聯系刪除并致歉!






